「OP.Link2Infinity / 致远」Brief Report 简报
🇺🇸For English Version, click here / 🇯🇵日本語版が必要な方はこちらをクリックしてください
行动概述
2025 年 9 月 10 日,来自中国的蓝军 @Xyinkl @irisierend @Leexiaoyu @SSSunlight @C7June @NanoApe @genthz @Kingmos,在多国友军的协力下,从 [中国甘肃玉门] 成功连接至 [美国阿拉斯加 Unalaska],完成了 Ingress 游戏史上迄今为止最长的 Link——6881.279958 km。
这一距离,距离理论极限 6881.2800 km 仅差 42 毫米。
历史上的长距离 Link 纪录:
2018.03.14 新西兰北岛 → 复活节岛,6881.2775 km,距极值 2.5 m (OP-Giraffe,参考链接附后)
2023.10.21 澳大利亚布里斯班 → 日本千叶,6881.2787 km,距极值 1.3 m(6881 Link by @itzWindyyy,参考链接附后)
2024.04.13 中国敦煌 → 格陵兰岛,6881.2779 km,距极值 2.1 m(OP Hello Arctic,参考链接附后)
今天,这一数字被刷新为:6881.279958 km。
这条 Link 的诞生,源于长达一年半的准备与实施。
过程几多挫折,但我们始终相信——以诚求真,以行致远。
一次次的 Key 交换,一次次的清障,一次次的部署阻挡 Link,每一步都凝聚了团队的心血与汗水,也记录了无数旅途与奔波。
当第一条 Link 成功建立,蓝色轨迹在虚空中极速穿越 6881 公里的地球表面——从沙漠的风声到草原的牧笛,从西伯利亚的高原雪峰到白令海峡的汹涌波涛。
这条线,不仅仅是游戏地图上的一段数据连线,更是跨越了虚拟与现实、连接了无数 Agent 生活轨迹的无形纽带。它穿越了物理距离与虚拟空间,也跨越了语言藩篱与文化边界。
略有些讽刺的是,这次行动之所以能成行,是因为俄乌战争导致俄罗斯境内无法正常游戏。而本次Link的起点位于古代中国长城的起点附近,终点则是美国的边境岛链,曾经在第二次世界大战中作为堡垒使用。1987年9月14日,当中国发出第一封电子邮件时,题目是“越过长城,走向世界”。如今,在多国友军的协助之下,我们也射出了这样一根Link,希望这根Link也能像38年前的那封邮件一样,带着开放、包容、善意与和平,抵达每个在读这篇战报的Agent心底。
传说中,人类联合起来兴建希望能通往天堂的巴别塔;为了阻止人类的计划,上帝让人类说不同的语言,使人类相互之间不能沟通,计划因此失败,人类自此各散东西;而今天,世界各地的 Agent 用行动打破文化和语言上的距离,共同完成了这条意义非凡的 Link。这一根Link不是巴别塔,无法通往天堂,但也凝聚了五个国家、30多个Agent一致的愿念——众志成城、一往无前。
这正是 Ingress 作为第一款全球 LBS 虚拟现实游戏,在运营 13 年后依然的魅力所在。
也正是这种热情与凝聚力,让 Ingress 社群经久不衰、持续兴盛。
这一次,我们用 99.9999993896% 的 Link 长度,
在 IITC 地图上、在记忆深处刻下了一条,无法被擦去的永恒连接。
〈致谢〉
由中、美、加、日、蒙五国 30 余名 Agent 的合力准备,本次行动最终得以成行。
在此特别感谢为本行动提供过帮助的以下 Agent——
物资组:
Key 来源——@Ba1r0g🇨🇦 @Masterfod🇨🇦
Key 运输——@CrystaTech🇯🇵 @fffancy @SailingY
VRLA 提供——@AlexRowe @Anderseas @C7June @Xyinkl
清障组:
美国 Unalaska——@Daisy2025 @IceNavigator 🇺🇸
日本北海道——@MikanZuki🇯🇵 @jejejejely🇯🇵 @yantensh🇯🇵
额济纳旗——@C7June @genthz
中国北京——@PJ10086 @RichardL1 @Michael0071 @Dacongmingya
Intel 组:
@Xyinkl @genthz @NanoApe @Leexiaoyu @RichardL1
@Ba1r0g🇨🇦 @chiakeshi🇯🇵
策划组:
@Xyinkl @NanoApe @genthz
历史贡献组:
@komecco🇯🇵 @Sonicrx🇺🇸 @lostngone🇺🇸 @Unclebeldin🇺🇸
@csballinger🇲🇳@Daydayuppp @lzsvictor @PurpleRedRiver
@TabrisJ @Snowrainbow @Dengdage @hezc1928
@Nrabbit @BGDajiu @AzureCandy
@4everyang @csdlbx
官方:
@Hilda
接受关于本次行动的投稿,投稿地址为:Link2Inf@vtx.space
〈附录 :行动数据及测算〉
1. 背景说明
在 Ingress 游戏中,Link(连接) 是核心玩法之一。每个 Portal 能连接到其他 Portal 的最大距离称为 Link Range(连接距离),它决定了有效连接和区域控制的范围。
Link 距离由该 Portal 上的 Resonator(共 8 个) 的等级决定,并可通过 Link Amp 类模组进行倍数放大。
2. 可 Link 距离计算公式
根据 Ingress Wiki 公开的计算方法,Link 距离的基本公式为:

3. Resonator 等级与计算示例
假设目标 Portal 装满 8 个 8 级 Resonator,则计算如下:

计算:

其中

所以无 Link Amp 时的最大 Link 距离为:

4. Link Amp 的范围放大倍数
不同等级及数量的 Link Amp 会对连接距离产生倍数放大,其放大系数如下表所示:
依据 Wiki 与社区测试数据,安装 4 个 Very Rare Link Amp 可获得约 10.5 倍 的距离放大。
5. 最长连接距离计算
将放大倍数代入公式:

6.最长连接距离结论
在 Ingress 游戏内装备了满 8 个 8 级 Resonator + 4 个 Very Rare Link Amp 的 Portal,理论上可以连出的最长连接距离为 6881.280000 公里。
7. 本次行动涉及的 Portal
终点: WW2 Bunker
坐标:-166.55134, 53.884592
起点 1: 玉门 “铁人” 王进喜纪念馆 / YuMen Iron Man Museum
坐标:97.554804, 39.803991
起点 2: 甘肃玉门铁人干部学院
坐标:97.554361, 39.804322
8. 距离计算方法
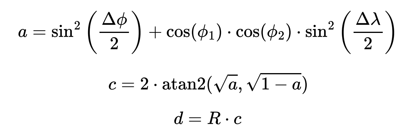
Ingress 使用 球面地球模型 计算两点间距离(大圆距离,Great-circle Distance),而非更精确的 WGS-84 椭球模型。
计算公式为 Haversine 公式:

其中,ϕ 表示纬度,λ 表示经度,R 是地球半径(单位公里),d 为两点间的地理表面距离。为了便于计算,Ingress 游戏统一采用了简化地球平均半径:

这是赤道半径(约 6378.1 km)和极半径(约 6356.8 km)的折中平均值。
9. 本次行动 Link 距离计算结果
根据 Haversine 公式及地球半径 6367 km,计算如下:
起点 1 玉门铁人王进喜纪念馆 → 6881.279958 km → 终点 WW2 Bunker(距离理论极限差约 42 毫米)
起点 2 甘肃玉门铁人干部学院 → 6881.277601 km → 终点 WW2 Bunker(距离理论极限差约 2.4 米)
10. 参考链接
Ingress Link 距离计算公式及放大倍数说明
https://ingress.fandom.com/wiki/Link#Range_Amplification
https://ingress.fandom.com/wiki/Link_Amp#Range_Amplification
Resonator 等级与 Portal 连接距离
球面地球模型距离说明与游戏应用
球面大圆距离(Haversine 公式)详解:**https://en.wikipedia.org/wiki/Great-circle_distance**
WGS-84 模型与球面距离计算器:**https://www.fai.org/page/world-distance-calculator**
OP-Giraffe Archive: https://web.archive.org/web/20190319220547/https://plus.google.com/112648211437438433523/posts/9jbnzKskynd
6881 Link by @itzWindyyy——
https://www.youtube.com/shorts/Z-yNf9VtozQ
https://xyinkl.oss-cn-beijing.aliyuncs.com/Screen-Shot-2025-09-11-02-00-41.64.png
OP-Hello Arctic: https://telegra.ph/Hello-Arctic-03-22