OP.Link2Infinity Report [Eng]
🇨🇳阅读简体中文版 / 🇯🇵日本語版が必要な方はこちらをクリックしてください
Op. Brief
On September 10, 2025, the Resistance agents from China, including @Xyinkl @irisierend @Leexiaoyu @SSSunlight @C7June @NanoApe @genthz @Kingmos, cooperating with multinational agents, successfully completed the "OP.Link2Infinity" operation, shooting the longest Ingress in-game Link so far from [Yumen, Gansu, China] to [Unalaska, Alaska, USA]. The Link length reached 6881.279958 km, just 42 mm short of the theoretical maximum Link distance.
According to Ingress settings, the theoretical longest Link distance in Ingress is 6881.2800 km.
Historical long-distance Links include:
March 14, 2018: From New Zealand’s North Island to Easter Island, 6881.2775 km, 2.5 meters from the maximum. [OP-Giraffe, reference links attached]
October 21, 2023: From Brisbane, Australia to Chiba, Japan, 6881.2787 km, 1.3 meters from the maximum. [6881 Link by @itzWindyyy, reference links attached ]
April 13, 2024: From Dunhuang, China to Greenland, 6881.2779 km, 2.1 meters from the maximum. [ENLCN, OP Hello Arctic, reference links attached]
Today, we are honored to announce that the longest Link record in Ingress has been updated to 6881.279958 km.
After a year and a half of preparation and challenges, we never wavered in our belief—seek truth with sincerity, reach far through action. Each Key exchanged, every barrier cleared, every blocking Link deployed reflects the team’s dedication, sweat, and countless journeys.
This Link, stretching 6881 km from near the ancient Great Wall of China to the Aleutian Islands at the edge of the US, is more than a game connection. It bridges the virtual and real, uniting the paths of countless Agents across physical distances, virtual spaces, languages, and cultures.
Ironically, this operation was made possible due to Russian game restrictions caused by the Ukraine conflict. Yet, like China’s first email in 1987 titled “Cross the Great Wall, Reach the World,” this Link—built with the support of Agents from five countries and over 30 Agents—carries a message of openness, unity, goodwill, and peace.
Legend says humanity’s Babel Tower collapsed because God scattered languages to stop their plan. Today, Agents worldwide defy these divides through action, creating this extraordinary Link that symbolizes collective will and unstoppable spirit.
This is the enduring power of Ingress—as a pioneering global LBS virtual reality game now 13 years on, its passion and unity keep the community alive and thriving.
With 99.9999993896% of the maximum Link length, this Link inscribed forever on the IITC map and in our memories is an unbreakable bond across worlds.
Acknowledgements
Over 30 Agents from China, the USA, Canada, Japan and Mongolia cooperated to make this operation possible.
Special thanks to the following Agents who supported this operation:
Supplies Group:
Key Sources — @Ba1r0g 🇨🇦 @Masterfod🇨🇦
Key Transport — @CrystaTech 🇯🇵 @fffancy @SailingY
VRLA Providers — @AlexRowe @Anderseas @C7June @Xyinkl
Obstacle Clearing Group:
Unalaska, USA — @Daisy2025 @IceNavigator 🇺🇸
Hokkaido, Japan — @MikanZuki 🇯🇵 @jejejejely 🇯🇵 @yantensh 🇯🇵
Ejin Banner — @C7June @genthz
Beijing, China — @PJ10086 @RichardL1 @Michael0071 @Dacongmingya
Intel Group:
@Xyinkl @genthz @NanoApe @Leexiaoyu
@Ba1r0g 🇨🇦 @chiakeshi 🇯🇵
Historical Contributors:
@komecco 🇯🇵 @Sonicrx 🇺🇸 @lostngone 🇺🇸 @Unclebeldin 🇺🇸
@csballinger🇲🇳 @Daydayuppp @lzsvictor @PurpleRedRiver
@TabrisJ @Snowrainbow @Dengdage @hezc1928
@Nrabbit @BGDajiu @AzureCandy
@4everyang @csdlbx
NIA Officials: @Hilda
Please submit your operation reports to:
Appendix : Calculation Explanation
I.Background
In Ingress, Link is a core gameplay mechanic. Each Portal’s maximum linking distance is called Link Range, determining the effective linking and control area. Link range depends on the levels of eight Portal Resonators and can be further amplified by Link Amp mods.
II.Link Distance Formula
According to Ingress Wiki, the Link distance formula is:

III. Resonator Levels Example
If all Resonators are level 8:

Without Link Amp, max distance:

IV. Link Amp Amplification
Link Amp multipliers:
Rare: 1x
1 Very Rare: 7.5x
2 Very Rare: 8.75x
3 Very Rare: 9.625x
4 Very Rare: 10.5x
According to the Wiki and game community data, equipping 4 Very Rare Link Amps provides an approximate 10.5times range amplification.
V. Actual Maximum Link Distance Calculation
Given the formula for Link Range:

where 160m is the base unit, 4096 is the fourth power of the average Resonator level (all 8-level resonators), and 10.5 is the amplification factor from 4 Very Rare Link Amps. Calculation yields:
6881.2800km
VI. Conclusion
A Portal fully equipped with eight level 8 Resonators and four Very Rare Link Amps can theoretically achieve the maximum possible link distance within the Ingress game of 6,881.280000 kilometers.
VII. Link Points
Endpoint: WW2 Bunker (53.884592 N, -166.55134 E)
Startpoint 1: YuMen Iron Man Museum (39.803991 N, 97.554804 E)
Startpoint 2: Gansu Yumen Iron Cadre College (39.804322 N, 97.554361 E)
VIII. Distance Calculation Model
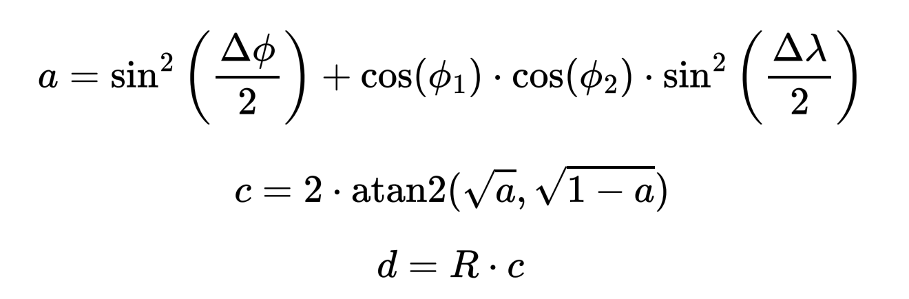
Ingress uses a spherical Earth model for distance calculation, rather than the more precise WGS84 ellipsoid model. Specifically, it calculates the distance based on the spherical great-circle distance using the Haversine formula. The formula is as follows:

where ϕ denotes latitude, λ denotes longitude, R is the Earth's radius (in kilometers), and d represents the surface distance between the two points. For simplicity, Ingress uses an approximate average Earth radius:

This is a compromise average between the equatorial radius (approximately 6378.1 km) and the polar radius (approximately 6356.8 km).
IX. Calculation Results
Distance from YuMen Iron Man Museum to WW2 Bunker: 6881.279958 km (42 mm below max)
Distance from Gansu Yumen to WW2 Bunker: 6881.277601 km (2.4 m below max)